学会発表「一般用医薬品のイブプロフェンとアセトアミノフェンの配合剤における新規製剤技術の応用」
~配合成分の薬物動態の改善~
エスエス製薬株式会社は、2025年3月の日本薬学会第145年会で、2024年9月に発売した自社新規製剤の解熱鎮痛剤(IP-TA)は既存の類似配合製剤(IP-TB)と比較して即効性があり、解熱鎮痛薬として優れた効果を発揮すると期待されることを報告しました。
目的
IP-TAの薬物動態を、IP-TBと比較することを目的としました。薬物動態とは、薬が体内でどのように吸収され、分布し、代謝され、排泄されるかを調べることを指します。今回は、経過時間における血漿中薬物濃度を測定することで薬物動態を評価しています。これにより、薬の特性を評価することができます。
IP-TAとIP-TBとは?
IP-TA: エスエス製薬が開発したクイックアクション製法あり製剤
IP-TB: 市販されているクイックアクション製法なしの類似配合製剤
結果と考察
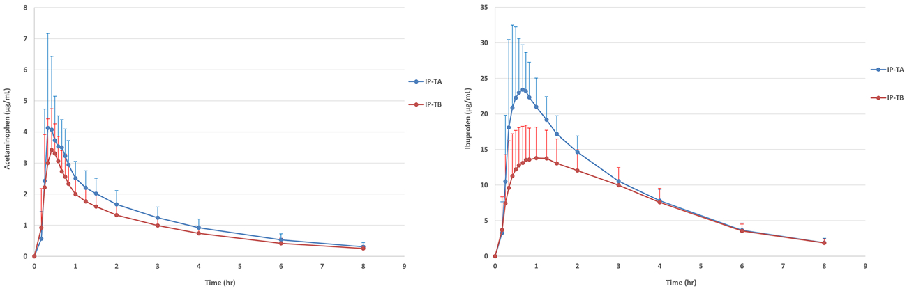
イブプロフェンの血漿中濃度:
IP-TBと比較して、イブプロフェンの吸収が速く、血漿中濃度が高いことが確認されました。これにより、IP-TAは即効性があり、痛みを迅速に和らげる効果が期待されます。具体的には、IP-TAのイブプロフェンの最大血漿中濃度(Cmax)は、IP-TBとの用量比(1.2)を超える約1.6倍でした。また、IP-TAはIP-TBよりも早く効果を発揮し、平均で26分速く最大血漿中濃度に達しました。イブプロフェンの吸収率定数(Ka)は、IP-TBよりもIP-TAの方が有意に高く、速い吸収を支持するデータと言えます。
アセトアミノフェンの血漿中濃度:
アセトアミノフェンについては、血漿中濃度プロファイルはIP-TAとIP-TBの間で用量比と一致するCmaxの差が見られましたが、血漿中濃度のプロファイルは類似していました。

方法
日本人健康被験者24例を対象とし、イブプロフェンとアセトアミノフェンの薬物動態プロファイルを比較する非盲検、無作為化、2群、クロスオーバー試験(n=12 X 2)をGCPに基づき実施。
オンライン研修サイト「エスエス製薬オンライン講座」
エスエス製薬では、OTC医薬品の販売に携わっておられる方を対象に、無料のオンライン研修を実施しています。製品紹介だけではなく、疾患、薬理等の知識や市場状況、店頭の接客に役立つ情報を盛り込んだ研修サイトです。ご登録していただくと「いつでも」「どこでも」「エスエス 製薬オンライン講座」で研修動画をご視聴いただけます。
MAT-JP-2507434-1.0-11/2025
最終更新日:2025.11.27










